POLISHSEAMEN Strona Główna POLISHSEAMEN
**** Forum Klanowe PolishSeamen ****

FAQFAQ  SzukajSzukaj  UżytkownicyUżytkownicy  GrupyGrupy  StatystykiStatystyki

Zaproszenie

 Ogłoszenie 


ZAPRASZAMY NA SERWER GŁOSOWY DISCORD


Uwaga ! Uwaga ! W dniu 29 grudnia 2019 roku zmieniliśmy silnik naszego forum PoilshSeamen. Ze względu na to że dotychczas używany silnik był przestarzały (pracował od maja 2005 roku), był pełen luk i błędów, podjęliśmy decyzję o zamknięciu tego forum i otwarciu nowego. Stare (to) forum jest dostępne "tylko do odczytu". Nowe zaś wymaga ponownego zarejestrowania użytkownika. Adres się nie zmienia. Dalej jest to

www.forum.polishseamen.pl

Zachęcamy wszystkich do ponownego zarejestrowania się u nas i do czynnego udziału w naszej społeczności.

Przepraszamy za problemy. Pozdrawiamy Administracja PolishSeamen.

Odpowiedz do tematu
Poprzedni temat :: Następny temat
Propozycja nowych zasad rankingowych
Autor Wiadomość
PL_Andrev 
Konteradmiral






Kraj:
poland

Imię: And
Pomógł: 37 razy
Dołączył: 09 Wrz 2008
Posty: 4398
Skąd: Gůrny Ślůnsk

 #1  Wysłany: 18 Kwiecień 2009, 23:54   Propozycja nowych zasad rankingowych

Propozycja nowych zasad rankingowych


Jak wszyscy wiemy, gry rankingowe niosą ze sobą kilka niedogodności. Oto przykrótka lista zaobserwowanych osobiście:

* Częstość uczestnictwa:
Gracze biorący częściej niż inni udział w patrolach mają znacznie więcej okazji na zwiększenie tonażu / punktacji niż pozostali.

* Kumulacja:
Gracze biorący częściej udział w grach składają punkt do punktu, skutecznie odskakując pozostałym / nowym graczom bez szans na podjęcie równorzędnej walki.

* Atak na eskortę:
Ataki na eskortę są względnie proste. Krążący wokół pozycji suba DDk jest znacznie bardziej narażony na celną torpedę niż uciekający merch.

* Bezpieczeństwo okrętu:
Gracze często podejmują walkę z eskortą z uwagi na brak innych celów w zasięgu wzroku. Zachowanie "wybitnie" nieklimatyczne, związane z ryzykiem zatopienia.

* Celowy disconnect:
Unikanie odpowiedzialności za własną brawurę poprzez hasło "rozłączyło mnie" jest celowym oszustwem. Niestety nie ma sędziego, który mógłby weryfikować status gracza.

Aby wyeliminować w/w zachowania lub przynajmniej część z nich, zdecydowałem się poprowadzić próbny (i tajny) ranking wśród graczy biorących udział w testowaniu najnowszych misji do SH4+UBM+TMO163. Zdecydowałem się także maksymalnie uprościć zasady naliczania punktów. Wiem, jest to dla niektórych bolesne, ale nie widzę innej możliwości (w jednej z misji Wilk zatopił pancernik jedną !!! torpedą. Tylko że zanim mnie rozłączyło, wystrzeliłem do niego cztery moje...)

1. Wyniki są wprowadzane wyłącznie w oparciu o tabelę końcową.
Sorki Winnetou, ale nie ma dowodów że to TY zaatakowałeś wcześniej cel, że trafiłeś, że uszkodziłeś, że "prawie" zatopiłeś. Ktoś zatopił uszkodzony przez Ciebie cel? Na drugi raz daruj go sobie, ale strzelaj salwą.

2. Nie prowadzi się podziału na KIA liczony/nieliczony z uwagi na niemożność potwierdzenia faktu ataku lub jego braku.
Kilka razy (przy włączonych sygnaturkach) różnych graczy "dziwnie" rozłączało przy szarży / ataku eskorty. Nie jest to na szczęście nagminne, ale niestety zdarza się. A co z uczciwymi? Trudno. Ranking jest tak pomyślany, że jeden czy dwa disconnecty nie zaniżą znacznie punktacji.

* * *

Uwagi dot. prowadzenia rankingu testowego

1. Niniejszy ranking ma zadanie pokazać sposób kalkulacji i ma mały związek z rzeczywistymi umiejętnościami dowódców subów.

2. Wyniki zostały oparte o wyrywkowe, niekompletne lub nieaktualne dane pochodzące z przeprowadzonych patroli, w których w większości brałem udział.

3. Dane zostały opracowane na podstawie strzępków informacji ze sprawozdań, tabel końcowych lub tabel ze środka patrolu.

4. Część danych pochodzi także z misji testowych, o zawyżonym lub zaniżonym poziomie trudności.

5. Niektóre patrole nie zostały uwzględnione z braku danych końcowych - tabel lub opisów (np. "Klincz" w którym Pasterz przeżył i zatopił pancernik)

Zalety punktacji
- możliwość dołączenia się nowych graczy w dowolnym czasie, zachowując szansę na zwycięstwo (pod warunkiem udziału w 5 patrolach)
- zniechęcanie do ataku na okręty eskorty
- promowanie zachowań klimatycznych (ucieczka przed okrętami eskorty w celu przeżycia)

* * *

Proponowany regulamin gier rankingowych

Patrol
1. Czas patrolu wynosi 2 godziny.
2. Patrol uznawany jest za "liczony" w przypadku:
- udziału min. 3 graczy ze statusem KIA/SURV
- zakończenia patrolu w regulaminowym czasie przez minimum 1 gracza ze statusem SURV
- wykonania screena z tabelki końcowej
- w przypadku braku opisu misji / osiągniętych statusów graczy wszystkie tabelkowe statusy "disconnect" traktowane są jako KIA

Załoga*
1. Gracz nowy lub ze statusem KIA w poprzednim patrolu otrzymuje okręt z załogą "rekrut"
2. Punkty w kolejnych patrolach podlegają sumowaniu, za każde uzbierane punkty gracz otrzymuje awans załogi:
- powyżej zatopionych 5'000 BRT przysługuje okręt z załogą "regular"
- powyżej zatopionych w kolejnych patrolach 15'000 BRT przysługuje okręt z załogą "veteran"
3. Gracz ze statusem załogi "rekrut" ma prawo wyłącznie do załogi "regular" niezależnie od osiągniętego tonażu w bieżącym patrolu.

Punktacja
1. Gracz punktowany jest po wykonaniu minimum liczonych 5 patroli.
2. Zatopienie jednostek neutralnych/sojuszniczych nie jest punktowane
3. Gracz który nie przeżył patrolu nie otrzymuje punktów za zatopione jednostki.
4. Sumaryczna ilość punktów jest liczona ze wzoru: suma punktów / ilość wykonanych patroli.
5. Gracz otrzymuje punkty za zatopione jednostki handlowe w ilości ich BRT/100
6. W przypadku zatopienia wyłącznie okrętów wojennych w patrolu, gracz otrzymuje punkty w ilości ich BRT/100, jeśli suma BRT przekroczy 3000.

Status gracza
1. SURV - gracz który przeżył patrol w regulaminowym czasie gry.
2. KIA - gracz zatopiony przez AI lub rozłączony po wykonaniu jakiegokolwiek ataku przez dowolnego gracza lub AI.
3. DISCONNECT - gracz rozłączony przed wykonaniem jakiegokolwiek ataku przez dowolnego gracza lub AI.

Zasady specjalne
1. Gracz ze statusem DISCONNECT zachowuje prawo do rodzaju posiadanej załogi + prawo do nieliczonego patrolu.

* - prowadzona jedynie orientacyjna kalkulacja załogi, niezależnie od rzeczywistej, proponowanej w danej misji. Możliwość awansu załogi będzie dodatkową motywacją dla gracza, (utrata punktów BRT w przypadku KIA jest już wystarczająco bolesna) przemawiającą przeciwko utracie "zaawansowanego" okrętu przez zbytnią brawurę. Bonus załogi objawiałby się poprzez np. 5/10% lub 10/20% zysk prędkości napraw lub ładowania torped.

* * *

Podsumowanie próbnego rankingu dla gier testowych pakietu misji dla SH4

Absolutnym dominatorem punktacji, z ilością 7 patroli, okazał się....

:juppi: :juppi: :juppi: PL_Wilk - 78.6 pkt :juppi: :juppi: :juppi:

!!! G R A T U L A C J E !!!


Z innych ciekawostek:

Największa ilość punktów (222,2) - Syguła (2 patrole, nieliczony)
:juppi:

Największy zatopiony tonaż na patrolu: 44 441 BRT (Przedpola Imperium) - Syguła
:piwko:

Zatopiony najwięcej razy: (87%) - Pasterz (zwykle rozłączony, ale wg zasad KIA)
:szpaner:

Największy pechowiec: (disconnect albo zatopiony) - Pablo (0 pkt)
:beksa:

[ Dodano: 19 Kwiecień 2009, 08:30 ]
* * *


1. Jak zostało wcześniej powiedziane, wyniki zostały oparte o wyrywkowe, niekompletne lub nieaktualne dane pochodzące z przeprowadzonych patroli, w których w większości brałem udział.

2. Przypomnę, że statystyki graczy byłyby znacznie lepsze, jednak w myśl proponowanego regulaminu (pkt 3 zasad punktacji) gracz zostaje pozbawiony punktów zdobytych na patrolu w którym został zatopiony, niezależnie od uzyskanego tonażu.

3. Statystyka uwzględnia wyłącznie graczy z 5-ma liczonymi patrolami.



Spostrzeżenia:
* stała ilość punktów świadczy o braku udziału gracza w kolejnych patrolach (lub disconnect)
* krzywa punktacji dąży asymptotycznie do średniego BRT/patrol
* lepiej być "cierpliwym lisem" - utrata punktów w przypadku KIA jest wyjątkowo bolesna...
 
     
PL_Pasterz 



Kraj:
poland

Imię: Paweł
Pomógł: 6 razy
Dołączył: 10 Maj 2008
Posty: 294
Skąd: Rzeszów

 #2  Wysłany: 19 Kwiecień 2009, 10:12   

Andrev, niektóre z twoich założeń są dosyć dyskusyjne... Mógłbyś sprecyzować poniższe stwierdzenia:

Andrev napisał:
Cytat:
Ataki na eskortę są względnie proste. Krążący wokół pozycji suba DDk jest znacznie bardziej narażony na celną torpedę niż uciekający merch.


Czy to stwierdzenie wynika z twoich kalkulacji i ma przełożenie na faktyczną liczbę/tonaż niszczycieli zatopionych w trakcie patroli "testowych"? Jaki jest stosunek liczby zatopionych okrętów wojennych do liczby zatopionych okrętów handlowych?

Andrev napisał:
Cytat:
Nie prowadzi się podziału na KIA liczony/nieliczony z uwagi na niemożność potwierdzenia faktu ataku lub jego braku.

KIA - gracz zatopiony przez AI lub rozłączony po wykonaniu jakiegokolwiek ataku przez dowolnego gracza lub AI.


Zgadzam się ze zdaniem nr 1: w 90% przypadków nie ma możliwości zweryfikowania przyczyn "rozłączenia" się gracza. Drugi zapis jest jednak co najmniej kontrowersyjny: chcesz przyznawać graczom status KIA bo ktoś inny zdążył już zaatakować? Czy jeżeli PL_Wilk zaatakuje DD na powierzchni zaraz po rozpoczęciu patrolu (co zdarza się dosyć często), pozostali gracze, którzy nie wykonali nawet podejścia do konwoju (a zostali rozłączeni) muszą się liczyć ze statusem KIA?

Nadmienię tylko, że taką sytuację mieliśmy chociażby wczoraj: SD_Pablo został rozłączony gdy wszyscy gracze byli wewnątrz konwoju, bez zagrożenia ze strony eskorty. O celowym rozłączeniu nie mogło być mowy, tym bardziej, że 15 sekund po rozłączeniu torpedy Pabla zatopiły wrogi statek...

Andrev napisał:
Cytat:
Patrol uznawany jest za "liczony" w przypadku zakończenia patrolu w regulaminowym czasie przez minimum 1 gracza ze statusem SURV.


Czy oznacza to, że patrol nie może się zakończyć statusem KIA dla wszystkich graczy?

Andrev napisał:
Cytat:
Punkty w kolejnych patrolach podlegają sumowaniu, za każde uzbierane punkty gracz otrzymuje awans załogi:
- powyżej zatopionych 5'000 BRT przysługuje okręt z załogą "regular",
- powyżej zatopionych w kolejnych patrolach 15'000 BRT przysługuje okręt z załogą "veteran".


Kto miałby kontrolować i egzekwować te założenia w praktyce?

Andrev napisał:
Cytat:
Bonus załogi objawiałby się poprzez np. 5/10% lub 10/20% zysk prędkości napraw lub ładowania torped.


Jak wyżej. Zwróć uwagę, że powyższe propozycje wymagają dwóch rzeczy:
- dyscypliny od samych graczy w zakresie sporządzania raportów i komentarzy do misji rankingowych, a z tym jak wiemy bywa różnie. Jak chcesz ustalić te parametry, kiedy nie sporządzono raportu do poprzedniej misji a gracze chcą rozegrać kolejny patrol?
- wypuszczania indywidualnych wersji moda PolishSeamen Pack "pod gracza" - w ścisłej korelacji z jego wynikami i postępami w rankingu... Czy oznacza to scenariusz "nie ma zaktualizowanej paczki PSP -> nie ma patrolu"? Nie wydaje ci się, że zarżnęlibyśmy ten ranking, zanim by się on naprawdę zaczął?

Temat jest bardzo ważny, więc liczę na aktywność pozostałych graczy SH4. Ten ranking jest dla was więc wypowiedzcie się w tym temacie. Andrev, to co proponujesz jest jak najbardziej ciekawe (i motywujące) z punktu widzenia gracza, ale trochę za dużo w tym formalności... Weź pod uwagę, że duża liczba patroli jest rozgrywana spontanicznie (są chętni - to gramy!). Tu nie trzeba sztywnych reguł i kontroli postępów każdego uczestnika. Ranking ma być w końcu dla graczy a nie dla rankingu...

Tyle moim skoromnym zdaniem. Czekam na wnioski innych...
_________________
Kiedy woda pędzi, by wypełnić próżnię, która kiedyś byłą wnętrzem okrętu podwodnego, iskierki życia gasną...
 
     
PL_Andrev 
Konteradmiral






Kraj:
poland

Imię: And
Pomógł: 37 razy
Dołączył: 09 Wrz 2008
Posty: 4398
Skąd: Gůrny Ślůnsk

 #3  Wysłany: 19 Kwiecień 2009, 11:43   

PL_Pasterz napisał/a:
Cytat:
Ataki na eskortę są względnie proste. Krążący wokół pozycji suba DDk jest znacznie bardziej narażony na celną torpedę niż uciekający merch.


Czy to stwierdzenie wynika z twoich kalkulacji i ma przełożenie na faktyczną liczbę/tonaż niszczycieli zatopionych w trakcie patroli "testowych"?


Celem gracza jest zatapianie konwoju a nia zabawa w kotka i myszkę z eksortą. Pozostając na peryskopowej i będąc atakowany przez 1-3 DDki zwykle udawało mi się przynajmniej trafić (nie znaczy że zatopić) jednego z nich. Z drugiej strony merchy uciekają, a DDki krążą wokół subów. Przypomnę też sytuację, jak jeden gracz sam zatopił 5 DDków w jednej misji, co stanowiło praktycznie całą eskortę konwoju.
Z moich obserwacji wynika, że łatwiej zatopić DDka na wyższych poziomach doświadczenia, niż go zgubić bez stosowania wabii.

* * *
PL_Pasterz napisał/a:
Cytat:
KIA - gracz zatopiony przez AI lub rozłączony po wykonaniu jakiegokolwiek ataku przez dowolnego gracza lub AI.


zapis jest jednak co najmniej kontrowersyjny: chcesz przyznawać graczom status KIA bo ktoś inny zdążył już zaatakować? Czy jeżeli PL_Wilk zaatakuje DD na powierzchni zaraz po rozpoczęciu patrolu (co zdarza się dosyć często), pozostali gracze, którzy nie wykonali nawet podejścia do konwoju (a zostali rozłączeni) muszą się liczyć ze statusem KIA?

Nadmienię tylko, że taką sytuację mieliśmy chociażby wczoraj: SD_Pablo został rozłączony gdy wszyscy gracze byli wewnątrz konwoju, bez zagrożenia ze strony eskorty. O celowym rozłączeniu nie mogło być mowy, tym bardziej, że 15 sekund po rozłączeniu torpedy Pabla zatopiły wrogi statek...


A skąd wiesz, że aktualnie nie ma "zagrożenia ze strony eskorty"? Może akurat gracz ma tak silne uszkodzenia od ognia artyleryjskiego z merchów, że same przecieki ciągną go na dno? Skąd wiesz gdzie aktualnie jest dany gracz i czy akurat nie pruje na niego cała eskorta konwoju? Jeśli gracz został rozłączony na powierzchni (celowo lub nie) to nawet nie ma możliwości stwierdzenia czy DDki go wykryły i obrzucają bombami...

* * *
PL_Pasterz napisał/a:
Cytat:
Patrol uznawany jest za "liczony" w przypadku zakończenia patrolu w regulaminowym czasie przez minimum 1 gracza ze statusem SURV.

Czy oznacza to, że patrol nie może się zakończyć statusem KIA dla wszystkich graczy?

Może, ale po co serwer trzymać wtedy przez cały czas regulaminowy (2h)?

* * *
PL_Pasterz napisał/a:
Cytat:
Punkty w kolejnych patrolach podlegają sumowaniu, za każde uzbierane punkty gracz otrzymuje awans załogi:
- powyżej zatopionych 5'000 BRT przysługuje okręt z załogą "regular",
- powyżej zatopionych w kolejnych patrolach 15'000 BRT przysługuje okręt z załogą "veteran".

Bonus załogi objawiałby się poprzez np. 5/10% lub 10/20% zysk prędkości napraw lub ładowania torped.


Kto miałby kontrolować i egzekwować te założenia w praktyce?


Mechanizm wydaje się być prosty - mające tabelkę z ostatniego raportu (i posiadając wgląd w poprzednie wyniki) można określić status gracza. Wystarczy znać:
- poprzedni typ załogi
- ilość zatopionego BRT
- status KIA/SURV
Odpowiedzialnym byłby host pod groźbą nieuznania patrolu za "rankingowy".

PL_Pasterz napisał/a:
- wypuszczania indywidualnych wersji moda PolishSeamen Pack "pod gracza" - w ścisłej korelacji z jego wynikami i postępami w rankingu...

A tego nie rozumiem. Wyniki decydują o możliwości wybrania lepszej załogi niż "recruit".
Myślałem o propozycji uwzględnienia tego parametru w podstawowym packu, w którym szybkość napraw/torped byłaby zależna od statusu załogi / wyników, a nie od indywidualnego gracza, przykładowo:
załoga "recrut" - bonus 0% (domyślny poziom na wszystkich misjach)
"regular" - bonus do szybkości podstawowej 5%
"veteran" - bonus do szybkości podstawowej 10%
Byłby to swoisty bonus za swoistą "dobrą passę" danego gracza.

Można by to też rozwiązać ten problem poprzez:
- zlanie tematu (typ załogi był propozycją niewliczaną w wyniki z misji testowych)
- odpowiedni bonus z zatopień z patrolu w którym graczowi przysługiwałby lepszy okręt (np. +5/+10% premii do zatopionego BRT). Wtedy odpowiedzialny byłby tylko "pan tabelkowy"

* * *
Aha - po wynikach w misjach testowych, nikt nie przeżył więcej niż 2 misje z rzędu. Uwzględniajac drugą propozycję (premia do zatopionego BRT), tylko jeden gracz dostałby premię w wysokości... 500 BRT. I chyba rzeczywiście jest to bardziej optymalne rozwiązanie niż zabawa z kalkulowaniem załogi i pilnowaniem poziomu załogi przez hosta.
Wyniki jednak są na tyle słabe, że podwyższyłbym premię za "dobrą passę":

Regulamin - Załoga
1. Gracz nowy lub ze statusem KIA w poprzednim patrolu otrzymuje poziom "rekrut"
2. Punkty BRT w kolejnych patrolach podlegają sumowaniu, za każde uzbierane punkty gracz otrzymuje awans załogi:
- powyżej zatopionych w poprzednich patrolach 5'000 BRT przysługuje poziom "regular"
- powyżej zatopionych w poprzednich patrolach 15'000 BRT przysługuje poziom "veteran"
3. Gracz ze statusem załogi "rekrut" ma prawo wyłącznie do poziomu "regular" niezależnie od osiągniętego tonażu w poprzednim patrolu.
4. Premia za zdobyty poziom wynosi:
+10% do zatopionego tonażu z poziomem "regular"
+20% do zatopionego tonażu z poziomem "veteran"

Za podliczanie/wyliczanie danych odpowiedzialny jest "pan tabelkowy"
 
     
PL_CMDR Blue R 
Kapitan zur See






Kraj:
poland

Imię: Rafał; Finek
Ulubiona Gra: Silent Hunter III
Pomógł: 117 razy
Wiek: 39
Dołączył: 22 Wrz 2006
Posty: 19423
Skąd: Dąbrowa Górnicza

 #4  Wysłany: 19 Kwiecień 2009, 16:55   

Pasterz napisał/a:
Czy jeżeli PL_Wilk zaatakuje DD na powierzchni zaraz po rozpoczęciu patrolu (co zdarza się dosyć często), pozostali gracze, którzy nie wykonali nawet podejścia do konwoju (a zostali rozłączeni) muszą się liczyć ze statusem KIA?


A kto potwierdzi, czy jeszcze nie wykonali podejścia do konwoju?
_________________
Czasami brak taktyki, to jedyna możliwa taktyka....
CMDR Blue R (Finek)
http://finektsc.deviantart.com/
http://pl.youtube.com/profile?user=FinekTSC
 
 
     
PL_Andrev 
Konteradmiral






Kraj:
poland

Imię: And
Pomógł: 37 razy
Dołączył: 09 Wrz 2008
Posty: 4398
Skąd: Gůrny Ślůnsk

 #5  Wysłany: 8 Maj 2009, 18:33   

Po analizie wstępnych wyników w rankingu SH4 wziąłem, usiadłem i pomyślałem.
Myślenie udało się zakończyć sukcesem - opracowałem w miarę sensowne założenia zasad rankingowych, które rzecz jasna będą testowane podczas gier SH4 niezależnie od biegu bieżących rankingów.

Impulsem, który wymusił we mnie owe myślenie była misja "Zmierzch Samurajów" na której (wskutek błędów autora) doszło do rzezi IJN, wraz z zatopieniem okrętu flagowego Cesarskiej Floty "Yamato". Ów okręt ten, otrzymał 12-13 torped (przypuszczam że od różnych graczy) jednak ta "przeważająca" czy "zatapiająca" torpeda należała do "tylko" jednego z graczy - gra jest niestety nieubłagana i przyznała zatopienie tegoż to okrętu tylko temu jednemu wybrańcowi losu...
Oczywiście było to "przypadkowe" odstępstwo, które generuje jednak szalenie wysoki zysk punktowy dla ów gracza... myślałem zatem - jak je wyeliminować?
Odpowiedź wydaje się prosta...

Na początek prosty przykład:
9 pracowników otrzymuje wypłatę w wysokości 1'000zł, ich szef deklaruje swoje wynagrodzenie na 30'000zł
Jakie jest średnie wynagrodzenie?
* Średnia arytmetyczna: 3'900 zł (pracownicy są nieźle wkur... znaczy zdenerwowani)
* Mediana (excel): 1'000 zł

Jak widać na powyższym przykładzie, stosowanie wartości arytmetycznej średniej jest raczej złym pomysłem, z uwagi na silny wpływ pojedynczego odstępstwa na wynik końcowy z którego jest liczona punktacja rankingowa. Mediana wbudowana w excel jest także absurdalnym pomysłem, gdyż wartość ta w zupełnie niezrozumiany dla mnie sposób liczy wartość końcową.

Proponowanym wyjściem, proponowanym przez mnie jest:

1. Średnia ważona oparta o rozkład normalny Gaussa

O co chodzi.

Średnia ważona:
W skrócie mówiąc, średnia ważona opisuje średnią końcową poprzez wpływ "wag" czy "sił" poszczególnych wartości na ostateczny wynik - im dana wartość częściej się powtarza, tym wywiera ona większy wpływ na ostateczny, końcowy wynik.
Analizując powyższy przykład według kryteriów średniej ważonej, na pytanie "Jakie jest średnie wynagrodzenie?" otrzymujemy zadziwiającą odpowiedź:
* Średnia ważona: 1'350 zł
...co już bardziej odpowiada zdrowemu rozsądkowi, (w każdym razie mojemu).

Rozkład normalny Gaussa:
Rozkład normalny obrazuje prawdopodobieństwo otrzymania danego wyniku przy wykonanej próbie (czyli zatopienia BRT na patrolu), z czego najprawdopodobniejsze wydaje się być otrzymanie wyniku w pobliżu średniej.
Obrazowo mówiąc, jeśli ktoś zjada dziennie zupę w ilości 500ml, to najprawdopodobniej zje taką samą ilość jutro. Mało prawdopodobne że zje jej 700ml, a już zupełnie mało prawdopodobne że nie zje jej wcale - mało prawdopodobne, aczkolwiek możliwe.

Odnosząc te wyniki do naszych patrolów: jeśli ktoś topi średnio 10.tys BRT, to zatopienie Yamato czy innego Mushashi jest mało prawdopodobne, i taki wynik nie powinien być właściwie brany pod uwagę. Podobnie, jeśli ktoś topi średnio 15.tys BRT z patrolu na patrol, to jego KIA nie powinno być silnie punktowane...

Przykład:
Gracz topi średnio 10.tys BRT. Jaki jest wpływ wyniku zatopienia 50.tys BRT w patrolu? (w nawiasie proponowana proponowana wartość średniej):
ilość patroli z BRT ...........śr. artm.........(śr. waż+rozkład Gaussa)
9x10tys + 1x50tys = ........14 tys .................. (10.0 tys)
8x10tys + 2x50tys = ........18 tys .................. (12.5 tys)
7x10tys + 3x50tys = ........22 tys .................. (18.0 tys)
6x50tys + 4x50tys = ........26 tys .................. (24.1 tys)
5x50tys + 5x50tys = ........30 tys .................. (30.0 tys)

Jak widać na zaprezentowanym przykładzie, przypadkowe odstępstwo (1 na 10 patroli) nie ma praktycznie wpływu na średni wynik. Wraz ze zwiększaniem się powtarzalności owego "odstępstwa", jego wpływ na wynik końcowy rośnie, równając się ze średnią arytmetyczną przy równej ilości "odstępstw" z wynikiem typowo oczekiwanym (10tys BRT).

2. Likwidacja premii za przeżywalność (tzw. dobra passa)

Po zastanowieniu doszedłem do wniosku, że premia ta zbyt mocno przekłada się na końcowe wyniki, skutecznie podnosząc wartość BRT topionego na patrolu. Zapewne niektórym umyka fakt, że już samo wpisywanie topionego tonażu jest już wystarczającą nagrodą dla gracza. Jeśli trzymalibyśmy się premii za przeżywalność, to gracz musiałby mieć także wpisywany i liczony tonaż przy statusie KIA, bo przecież zatopił... a tylko premii za przeżywalność nie otrzymuje, zawyżającą wynik końcowy.
Premia za przeżywalność (o ile ktoś przeżywa) nie powinna mieć zatem zbytniego wpływu na wynik, gdyż nowi gracze nie są wstanie wyrobić odpowiedniego "naddatku" do tonażu, rekompensującego dodaną wartość premii. Nawet przy podobnym czy większym BRT uzyskanym przez nowego gracza, skumulowana premia za przeżywalność znacznie zawyża wyniki gracza doświadczonego.

3. Warunkowa premia za status SURV

Ostatnim problemem było rozróżnienie statusów KIA od SURV, gdyż co oczywiste, nie mogą być one tak samo punktowane. Premia za przeżywalność jest tu praktycznie wystarczająca, lecz całkowicie się nie sprawdza w momencie gdy gracz posiada SURV lecz jest "bez zatopień". Czyli premia za "dobrą passę" wynosi... zero.
Początkowo planowałem przyznawać ujemne punkty za stratę okrętu, co jednak w połączeniu z nieliczonym tonażem w przypadku KIA byłoby zbyt dużą karą dla gracza. Podobnie, w przypadku dużej ilości KIA w stosunku do patroli, liczba punktów mogłaby być ujemna.
Wydaje się, że optymalnym rozwiązaniem będzie przyznawanie extra tonażu (500 BRT) za status SURV - oczywiście tylko w przypadku, jeśli nie dokona żadnych innych zatopień. Jeśli gracz zatopi cokolwiek, a to "cokolwiek" jest z reguły większe niż 500 BRT, otrzymuje wtedy faktycznie topiony tonaż.

Nu?
 
     
PL_CMDR Blue R 
Kapitan zur See






Kraj:
poland

Imię: Rafał; Finek
Ulubiona Gra: Silent Hunter III
Pomógł: 117 razy
Wiek: 39
Dołączył: 22 Wrz 2006
Posty: 19423
Skąd: Dąbrowa Górnicza

 #6  Wysłany: 8 Maj 2009, 19:27   

Jedno zastrzeżenie... A kto będzie liczył torpedy?

Nie wiem, czy wersja, ze osoba widniejąca w tabelce ma 100% tonażu i jak przeżyje, to może go podzielić według uznania (a jak ktoś będzie dobijał specjalnie statki i się nie dzielił, to nikt z nim nie zagra, więc to niejako wymusi fair-play)... Bo kto będzie liczył torpedy?



Ps. A jak zatopisz powiedzmy 100 000 BRT i cię zabiją to w SH4 dostajesz punkty?
_________________
Czasami brak taktyki, to jedyna możliwa taktyka....
CMDR Blue R (Finek)
http://finektsc.deviantart.com/
http://pl.youtube.com/profile?user=FinekTSC
Ostatnio zmieniony przez PL_CMDR Blue R 8 Maj 2009, 19:29, w całości zmieniany 1 raz  
 
 
     
PL_U-96 
GROSSADMIRAL




Kraj:
poland

Imię: PrZeMO
Ulubiona Gra: DW, SH2 vs DC, Imperium Galactica
Pomógł: 21 razy
Wiek: 46
Dołączył: 28 Maj 2005
Posty: 2456
Skąd: SOSNOWIEC CITY / Warszawa

 #7  Wysłany: 8 Maj 2009, 19:28   

ANDREV trzeba pamietac o jednym.

Bedziemy starali sie zeby pkt. zostaly przeliczane przez automat stworzony w php tak jak jest to w tej chwili dla SH2 i DC i SH3.

Chcemy ta sprawe doprowadzic do wrzesnia tego roku, zeby taki automat zostal zrobiony dlatego trzeba sie zastanowic nad tym czy zbytnie skomplikowanie takie wzoru nie bedzie problemem dla stworzenia takiego automatu. Dla porownania napisze, ze nad wzorem i automatem liczacym dla SH3 i DC siedzial ADAMUS ktory stworzyl wzor od podstaw i KING ktory go zaimpletowal do automatu i trwalo to kilka tygodni
_________________
capt. TUPOLOV commanding
 
 
     
PL_Andrev 
Konteradmiral






Kraj:
poland

Imię: And
Pomógł: 37 razy
Dołączył: 09 Wrz 2008
Posty: 4398
Skąd: Gůrny Ślůnsk

 #8  Wysłany: 8 Maj 2009, 19:53   

@ Finek
Jakie torpedy? Przy tym zatopieniu Yamato wszystko było liczone jednemu graczowi. Nie ma sędziego coby liczył ekstra torpedy... a po za tym jak kto udowodni czy to akurat jego trafiły, lub że to akurat jego były, skoro nie ma sędziego / nie ma sygnaturek?

Cały "bajer" obliczeń polega na tym, abyś tych 100.000 nie dostał, bo przecież twoja średnia zakłada że nie jesteś w stanie tyle zatopić... Co najwyżej dostaniesz jakiś nędzny ochłap z tego - odpada problem z dzieleniem się torpedami...

A co do dzielenia się tonażem.
Skoro ktoś porywa się na ciężką jednostkę wroga jedną/dwoma torpedami to sorry ale to jego głupota. Była u nas sprawa, że zaatakowałem ciężki BB typu Kongo czy tam Ise. Po wystrzeleniu torped rozłączyło mnie - a inny gracz zdziwił się że zatopił później tego BB jedną torpedą... Gdzie tu sens? Jak podzielić tonaż w takim przypadku?
Nie dzielimy się. Zwaliłeś atak - trudno. Strzelaj następny raz salwą.

@ Przemek
Teoretycznie metoda wygląda na skomplikowaną, jednak to tylko podstawowe obliczenia na zmiennych. Algorytm ten mam zaimplementowany w Excelu (dla ośmiu patroli) i do jego uruchomienia nie jest wymagany nawet visual basic z instrukcjami warunkowymi czy pętlami...

Problemem jest wybranie poprawnego wzoru, bo i mamy wzór oryginalny, swój kalkulator ma Pasterz, no i jeszcze ja mam jeden (no, teraz już dwa).
Prowadzimy je niezależnie więc będzie można porównać wyniki...
 
     
PL_U-96 
GROSSADMIRAL




Kraj:
poland

Imię: PrZeMO
Ulubiona Gra: DW, SH2 vs DC, Imperium Galactica
Pomógł: 21 razy
Wiek: 46
Dołączył: 28 Maj 2005
Posty: 2456
Skąd: SOSNOWIEC CITY / Warszawa

 #9  Wysłany: 8 Maj 2009, 19:56   

SPOKO

Wzor do SH2 i DC tak naprawde finalnie zostal zatwierdzony po 3 latach i przez te wlasnie 3 lata cos bylo zmieniane na podstawie odbytych patroli inaczej sie nie da
_________________
capt. TUPOLOV commanding
 
 
     
PL_Andrev 
Konteradmiral






Kraj:
poland

Imię: And
Pomógł: 37 razy
Dołączył: 09 Wrz 2008
Posty: 4398
Skąd: Gůrny Ślůnsk

 #10  Wysłany: 18 Maj 2009, 18:45   

EWOLUCJA PUNKTACJI RANKINGOWEJ


(uwaga: długie! grozi zaśnięciem!)


Jak dobrze zainteresowanym wiadomo, powstało kilka pomysłów dotyczących zmian punktacji rankingowej. Tak się jakoś zaskakująco i dziwnie złożyło, że sposób oceniania graczy zaproponowany przez moją jakże skromną osobą podlegał (mam nadzieję że mogę już użyć formy czasu przeszłego) cały czas ewolucji. Szczęśliwie główne założenia nie uległy zmianie, jednak dołożyłem kilka elementów (być może kontrowersyjnych w swojej treści), które pozwolą po części na wyeliminowanie wad obecnych rankingów.


1) Punktacja za zatopienia

a) Cele handlowe / wojenne

Jak powszechnie wiadomo, wyniki końcowe prezentowane przez SH4 są znacznie bardziej prymitywne niż w przypadku poprzednich wersji tej gry. Nie ma podziału szczegółowego umożliwiającego precyzyjny określenie ile jednostek wojennych a ile handlowych zastało zatopionych przez danego dowódcę - do dyspozycji mamy jedynie sumaryczny wynik BRT i całkowitą ilość zatopionych jednostek (wojennych i handlowych).
Z tego też powodu jest proponowane, aby nie było osobnej punktacji na jednostki handlowe / wojenne, a samoloty nie były w ogóle uwzględniane w rankingu.

b) Cele wrogie / neutralne / sojusznicze
Problem rozpoznania celu, mimo że rzadko spotykany w SH4 ma małe znaczenie jeśli chodzi o umiejętności gracza. Cel neutralny / sojuszniczy nie próbuje ucieczki, nie spodziewa się ataku, nie ma zagrożenia eskorty. Z drugiej strony gracz traci torpedy, traci czas na ich przeładowanie, naraża się na większe prawdopodobieństwo wykrycia etc etc. Z tego też powodu zostało postanowione, że zatopienie jednostek neutralnych czy sojuszniczych nie będzie w jakikolwiek sposób wpływało na wyniki rankingowe.


2) Status gracza a uzbierany tonaż

a) Disconnect
Disconnect jest najbardziej problematycznym statusem gracza. Gracz może otrzymać ten status w wyniku przypadków losowych, ale także może sam wyłączyć grę będąc np. pod obstrzałem eskorty. Niestety, nie ma możliwości potwierdzenia czy gracz jest liczony czy nieliczony. Dlatego status "disconnect" jest traktowany jako neutralny - gracz traci wszystkie zyskane w tym patrolu punkty, jednak sam patrol traktowany jest jako "nieliczony".

b) KIA
Gracze biorący udział w patrolu mają dwa główne zadania: po pierwsze - zatopić tonaż, po drugie - przeżyć. Mechanizm wykrywania subów w SH4 nie jest niestety doskonały i sub może zostać wykryty nawet na dużej głębokości przy zerowej emisji hałasu. Wysoki poziom wyszkolenia eskorty (veteran, elite) z kolei gwarantuje, że wykryty sub zostanie odpowiednio: "prawie na pewno" lub "na pewno" zatopiony i to niezależnie od stosowanych uników. Są oczywiście gracze (jeden wyjątek) którzy wiedzą jak należy postępować z eskortą aby uniknąć wykrycia, jednak zdecydowana większość nie ma takiego doświadczenia, zaliczając po kilka/kilkanaście razy KIA w swojej karierze. Dość często się zdarza, że duże łupy są okraszone statusem KIA, co budzi rzecz jasna frustrację i zniechęcenie graczy do kontynuacji dalszej zabawy. Aby uniknąć tego typu negatywnych zjawisk wprowadzono absolutną nowość jaką jest zliczanie rankingu ze statusu KIA (tak, tak!). Myślę że rozwiąże to problem frustracji z przepadnięcia ...nastu tysięcy BRT, a dodatkowo zagwarantuje większą agresję graczy i powiększy ich wyniki. Tylko... gdzie jest haczyk?


3) Premia za przeżywalność

Obecna premia za przeżywalność skutecznie eliminuje z gry graczy później przyłączających się do patroli rankingowych, czy biorących sporadycznie w nich udział. W przypadku graczy "dobrych" z niską ilością statusu KIA premia wynikła z przeżywalności jest tak wysoka, iż pozostali oraz nowi gracze nie mają właściwie możliwości podjęcia współzawodnictwa ze starymi wyjadaczami. Jedyna cechą takiej konfrontacji powinna być skuteczność gracza, a premia za przeżywalność podnosi poprzeczkę zbyt wysoko. Dodatkowo kara w przypadku niepowodzenia (KIA = 0 BRT, zerowanie premii) jest zbyt wysoka, znacznie zaniżająca wgląd w umiejętności danego dowódcy suba. Dlatego proponuje się likwidację premii za przeżywalność.


4) Status KIA - kara za nieprzeżywalność


a) Wpływ tonażu z patrol KIA
Aby oddać rzeczywisty obraz umiejętności gracza, wyniki uzyskane w przypadku KIA powinny być wliczane do uzyskiwanej średniej, gdyż w ten sposób wielkość uzyskiwanego wyniku będzie odpowiadała umiejętnościom gracza. Gracze będą mieli mniejsze obawy przed zatopieniem (co w naturalny sposób ogranicza próby ataku). To zadaniem eskorty jest powstrzymanie gracza od wykonania ataku na wrogi konwój, a status KIA po prostu definitywnie uniemożliwia dalsze próby ataku.

Przykład 1:
10'000 / 15'000 / 12'000 / (KIA: 30'000)
BRT liczone z KIA: 14'325
BRT nieliczone: 10'728

Przykład 2:
10'000 / 15'000 / 12'000 / (KIA: 2'000)
BRT liczone z KIA: 10'851
BRT nieliczone: 10'728

W obu wypadkach BRT "nieliczone" zaniża średnią, bez znaczenia czy dany gracz cokolwiek zatopił czy też nie.

b) Kara za nieprzeżywalność
Obecnie KIA ma istotny wpływ na osiągany wynik - eliminuje ona wpływ zatopień z danego patrolu na wynik końcowy. Po analizach (z założeniem KIA = 0 BRT) okazuje się, że średnia graczy spada w zastraszający sposób, bez szans na jakiekolwiek odbudowanie poprzedniego wyniku. Jednak gwarancja uwzględnienia osiąganego tonażu gwarantuje agresywniejsza postawę i przede wszystkim brak frustracji w przypadku przepadnięcia istotnego wyniku.

Przykład 1:
10'000 / 15'000 / 12'000 / (KIA: 30'000)
Wliczane 0% BRT z KIA: 10'728
Wliczane 70% BRT: 13,738

Przykład 2:
10'000 / 15'000 / 12'000 / (KIA: 2'000)
Wliczane 0% BRT z KIA: 10'728
Wliczane 70% BRT: 10'818

Przykład kary 30% utraty tonażu za status KIA. Powstaje problem: opłaca się zatopić i zginąć niż przeżyć z zerowym wynikiem?

c) Kara kumulowana za nieprzeżywalność
Niezależnie od osiąganego wyniku w patrolach, KIA byłaby naliczana jako stale rosnąca (kumulacyjna) wartość korygująca wynik uzyskanego tonażu podczas patrolu ze statusem KIA. Mimo jej kumulacji (nawet wielokrotnej), realna wielkość zatopienia byłaby uwzględniana w wyniku końcowym, w ilości ściśle zależnej od zatopionego tonażu.

Przykład kumulacji kar / % liczonego tonażu ze statusu KIA:
1xKIA = 85% / 80% / 75%
3xKIA = 61% / 51% / 42%
5xKIA = 43% / 32% / 23%
9xKIA = 21% / 12% / 6%
15xKIA = 5% / 2% / 0%

Przykład 1: (w nawiasie % wliczanego BRT)
10'000 / 15'000 / 12'000 / (KIA: 30'000)
KIA +80%: 13'857 (100%, 100%, 100%, 80%)
KIA *80%: 13'857 (100%, 100%, 100%, 80%)

Przykład 2:
10'000 / (KIA: 15'000) / (KIA: 12'000) / (KIA: 30'000)
KIA +80%: 11'940 (100%, 80%, 80%, 80%)
KIA *80%: 11'051 (100%, 80%, 64%, 51%)

Średnia kumulacyjna zaniża znacznie wyniki gracza w przypadku kolejnych KIA. Mimo zatopienia aż 30 tys BRT w ostatnim patrolu uwzględniany wynik to nieco ponad 15tys BRT.

d) Czy lepiej zatopić cokolwiek i zginąć niż uzyskać wynik SURV bez zatopień?
Rzeczywiście, proponowany ranking sugeruje, iż bardziej liczy się skuteczność niż ostrożność / pasywność. Sytuacja wydaje się być absurdalna, jednak należy pamiętać że kara za status KIA jest praktycznie nie do odrobienia, a jej wpływ na wynik z patrolu KIA stale rośnie. Początkowo wartości kary nie są wysokie, lecz z upływem czasu kumulacja zaczyna odgrywać coraz większą rolę w kształtowaniu ostatecznego wyniku gracza.

Przykład 1: (w nawiasie rzeczywista wartość BRT z patrolu)
kara 80%
3xKIA (15'000) = 7.650
1xKIA (10'000) = 8.000

Przykład 2:
kara 80%:
9xKIA (30'000) = 3.600
5xKIA (10'000) = 4.300

Jak widać na zamieszczonym przykładzie, gracz posiadający większą ilość kar ponosi coraz większy koszt tonażowy w przypadku KIA - jednak jego wynik jest ściśle uzależniony od wielkości łupu z pechowego, nieprzeżytego patrolu.


5) Analiza wyników

Uzyskane wyniki przez graczy nie powinny być liczone ze średniej algebraicznej z uwagi na jej wady: średnia algebraiczna jest wyjątkowo czuła na odstępstwa od normy. Nie chodzi tylko o abstrakcyjne zatopienie w danym patrolu wyniku kilkukrotnie przekraczającego średnią, ale także braku wyników z pojedynczych patroli.
Alternatywą, niwelującą odstępstwa od wyniku uznawanego jako średni jest średnia ważona, która powiązuje wynik z jego wagą. Im bliżej średniej, tym waga (wpływ) pojedynczej wielkości jest większy na końcowy wynik. Im bardziej ta wartość odchylona od średniej, tym jej wpływ na ostateczny wynik jest mniejszy. Z kolei wraz ze wzrostem powtarzalności tego odstępstwa, rośnie jego wpływ i udział w globalnej średniej. Ostateczny wynik jest zatem bliższy najczęściej uzyskiwanym wartościom w patrolach, modyfikowany o wyniki bardziej sporadyczne.

Przykład 1:
10'000 / 15'000 / 12'000 / 2'000
sr.artmet: 9'750
sr.wazon: 10'851
poprawka do wyniku końcowego: ok.+1'000 z racji "odstępstwa"

Przykład 2:
10'000 / 15'000 / 12'000 / 30'000
sr.artmet: 16'750
sr.wazon: 14'325
poprawka do wyniku końcowego: ok.-1'500 z racji "odstępstwa"

W obu przypadkach ostatni wynik to silne odstępstwo od średniej (ok. 12 tys. BRT) - średnia ważona "koryguje" wynik zaniżając wpływ odstępstwa. Oczywiście nie oznacza to, że ten wynik nie ma żadnego wpływu.

* * *

Skomplikowane?
Spokojnie... to tylko tak wygląda.
Całość jest realizowana w formie funkcji blokowej w oparciu o instrukcje warunkowe i proste pętle. Do tego dochodzi jeszcze plik do przechowywania i wymiany podstawowych danych... standardowy PHP da radę, może nawet javascript - ale poczekajmy, bo a nuż się coś zmieni...

Pierwsze wyniki już wkrótce...
 
     
PL_CMDR Blue R 
Kapitan zur See






Kraj:
poland

Imię: Rafał; Finek
Ulubiona Gra: Silent Hunter III
Pomógł: 117 razy
Wiek: 39
Dołączył: 22 Wrz 2006
Posty: 19423
Skąd: Dąbrowa Górnicza

 #11  Wysłany: 18 Maj 2009, 18:52   

Zacząłem czytać o tym KIA. I czy to nie przerost formy nad treścią? Bo ten wzór aż zniechęca do jego stosowania.... W nim jest tyle zmiennych, że będzie to kłopotliwe do wklepania na stronę... A jeżeli ty odejdziesz, to potem nikt sie nie połapie o co chodzi...

A jeżeli przeżywalność jest problemem, to nie prościej przejrzeć misje i zmienić wyszkolenie eskorty? (aż sam muszę kiedyś spróbować, bo aż nie chce mi się wierzyć, że jest tak potężna)
_________________
Czasami brak taktyki, to jedyna możliwa taktyka....
CMDR Blue R (Finek)
http://finektsc.deviantart.com/
http://pl.youtube.com/profile?user=FinekTSC
 
 
     
PL_Andrev 
Konteradmiral






Kraj:
poland

Imię: And
Pomógł: 37 razy
Dołączył: 09 Wrz 2008
Posty: 4398
Skąd: Gůrny Ślůnsk

 #12  Wysłany: 18 Maj 2009, 19:12   

Musisz tylko pamiętać ile KIA wynosi aktualnie dla danego gracza (załóżmy że gracz miał już 3xKIA).
Gracz dostał po raz kolejny KIA, lecz zatopił 20.000 BRT.

20.000 * 0.8^4 = 20.000 * 0.41 = 8.200 BRT z patrolu.

Jak widzisz są tylko dwie zmienne:
1) Liczba KIA
2) Wynik z patrolu

Inne wartości podawałem wyłącznie dla porównania.
Ostatnio zmieniony przez PL_Andrev 18 Maj 2009, 19:13, w całości zmieniany 1 raz  
 
     
PL_CMDR Blue R 
Kapitan zur See






Kraj:
poland

Imię: Rafał; Finek
Ulubiona Gra: Silent Hunter III
Pomógł: 117 razy
Wiek: 39
Dołączył: 22 Wrz 2006
Posty: 19423
Skąd: Dąbrowa Górnicza

 #13  Wysłany: 18 Maj 2009, 19:48   

Andrew. Załóżmy, że jestem nowym graczem i zadaję pytanie:

Cytat:
Możesz mi opisać w prosty sposób, jak się liczy punkty?


I co odpowiesz? Bo ja jestem zaawansowany i patrzę i mi oczy na wierzch wychodzą. Tu średnia taka, tu współczynnik, tu drugi współczynnik. Powiem ci tyle. Ja już nie wiem, co trzeba robić, aby było najlepsze... Załóżmy, że mam 15 patroli, topię średnio 20 000 BRT i powracam z co 2 patrolu. I mam kolejne 20 000 BRT. Czy opłaca mi się ryzykować dla 10 000 BRT... Bo zaś średnia chyba nawet tego nie uwzględni, bo to "fuks", czy zaś uwzględni... Czy gracz, co wraca tak samo, ale zawsze ma 20 000 BRT będzie miał tyle samo punktów?

Andrew. W tym twoim wzorze można się zgubić... Mógłbyś go napisać, jako formułę do Excela?
_________________
Czasami brak taktyki, to jedyna możliwa taktyka....
CMDR Blue R (Finek)
http://finektsc.deviantart.com/
http://pl.youtube.com/profile?user=FinekTSC
 
 
     
PL_Andrev 
Konteradmiral






Kraj:
poland

Imię: And
Pomógł: 37 razy
Dołączył: 09 Wrz 2008
Posty: 4398
Skąd: Gůrny Ślůnsk

 #14  Wysłany: 19 Maj 2009, 18:16   

Finek, przecież to baaardzo proste....
:lol

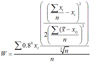
Oto wzór - zważ, czyż-li jest on skomplikowany?
Heheheh

Żeby nie wyglądało to zbyt groźnie, w załączniku znajduje się tzw. kalkulator:
Są tam opisane wzory cząstkowe oraz prosty kalkulatorek dla 20-tu patroli dwóch graczy do zabawy... Czy to nie przerost nad treścią... hmmm, a co za każdym razem mamy anulować patrol bo graczowi X udało się zatopić 100 tys ton, a on nie chce się podzielić tonażem?

wzorek.GIF
Plik ściągnięto 11309 raz(y) 4.25 KB

kalkulator.xls
Pobierz Plik ściągnięto 256 raz(y) 29 KB

 
     
PL_CMDR Blue R 
Kapitan zur See






Kraj:
poland

Imię: Rafał; Finek
Ulubiona Gra: Silent Hunter III
Pomógł: 117 razy
Wiek: 39
Dołączył: 22 Wrz 2006
Posty: 19423
Skąd: Dąbrowa Górnicza

 #15  Wysłany: 19 Maj 2009, 18:54   

Zaraz. I to małe dziadostwo także liczy te premie/kary do tonażu za przeżywalność? Coś mi się nie wydaje...
_________________
Czasami brak taktyki, to jedyna możliwa taktyka....
CMDR Blue R (Finek)
http://finektsc.deviantart.com/
http://pl.youtube.com/profile?user=FinekTSC
Ostatnio zmieniony przez PL_CMDR Blue R 19 Maj 2009, 18:54, w całości zmieniany 1 raz  
 
 
     
PL_Marco 



Kraj:
poland

Imię: Kamil
Pomógł: 45 razy
Wiek: 39
Dołączył: 09 Sty 2006
Posty: 2746
Skąd: Będzin

 #16  Wysłany: 19 Maj 2009, 23:25   

Odbiegnę od tematu, ale muszę zapytać - Andrev taki jesteś kozak z matmy? (oczywiście w dobrym znaczeniu tego słowa).

Bo Adamus8 się nie pojawia a jak bym kiedyś potrzebował jakiegoś wyjaśnienia czy korepetycji to i blisko bym miał :aniolek:
 
     
PL_Andrev 
Konteradmiral






Kraj:
poland

Imię: And
Pomógł: 37 razy
Dołączył: 09 Wrz 2008
Posty: 4398
Skąd: Gůrny Ślůnsk

 #17  Wysłany: 20 Maj 2009, 06:10   

Zależy o co chodzi...

Funkcji cyklicznych (sinh, cosh) nie znam, całek podwójnych i potrójnych już dawno nie pamiętam (podobnie jak obliczanie równań różniczkowych n-tego stopnia)...
Ale już z zadaniami zawierającymi wielokrotne wartości bezwzględne typu: |||x+5|-3x|+7+2x| sobie radzę. Zależy o co chodzi...
Ostatnio zmieniony przez PL_Andrev 20 Maj 2009, 06:11, w całości zmieniany 1 raz  
 
     
PL_CMDR Blue R 
Kapitan zur See






Kraj:
poland

Imię: Rafał; Finek
Ulubiona Gra: Silent Hunter III
Pomógł: 117 razy
Wiek: 39
Dołączył: 22 Wrz 2006
Posty: 19423
Skąd: Dąbrowa Górnicza

 #18  Wysłany: 20 Maj 2009, 06:51   

Cytat:
Czy to nie przerost nad treścią... hmmm, a co za każdym razem mamy anulować patrol bo graczowi X udało się zatopić 100 tys ton, a on nie chce się podzielić tonażem?


A dlaczego anulować raport? Zatopił, choć była współpraca nie chce się dzielić, to jego sprawa. Potem ktoś mu sprzątnie i jemu nie da i będzie po sprawie... I błąd był raczej w misji. Ogromne jednostki są fajne, ale nie sprawdzają się na multi. W Sh3 mieliśmy taki przykład z Queen Mary (80k BRT), która 2 edycje temu nieźle rozbalansowała początek gry. Prawda niestety jest taka, ze te jednostki nie nadają się na multi.

I co ma piernik do wiatraka? Bo gdzie w tym wzorze są te premie za przeżywalność i kary za tonaż? Bo ja widzę tylko tonaż (xi), średni tonaż (xśr) i ilość patroli (n).
_________________
Czasami brak taktyki, to jedyna możliwa taktyka....
CMDR Blue R (Finek)
http://finektsc.deviantart.com/
http://pl.youtube.com/profile?user=FinekTSC
Ostatnio zmieniony przez PL_CMDR Blue R 20 Maj 2009, 06:54, w całości zmieniany 1 raz  
 
 
     
PL_tes 
Kapitan zur See





Kraj:
poland

Imię: Marcin
Pomógł: 13 razy
Wiek: 44
Dołączył: 15 Lip 2007
Posty: 1878
Skąd: Gdańsk/Coventry

 #19  Wysłany: 20 Maj 2009, 11:03   

Szkoda, ze ten ranking ma az taka wage, ze trzeba go opisywac bawac sie w rozklady. Czy naprawde nie da sie tego opisac w postaci kilku prostych i zrozumialych regul? Np.: Co zatopiles to twoje, decyzja o podziale nalezy do gracza ktory ostatni zatopil dana jednostke, masz KIA w 0pkt., przerzyles +5% do twojego tonazu w nastepnej bitwie, etc.
Jeden z moich profesorow mawial, iz najlepsze i najbardziej praktyczne wzory, to te ktore sa proste (nieskomlikowane). Im bardziej skomplikowany wzor, tym wieksze prawdopodobienstwo pomylki przy jego tworzeniu. I ma sporo racji w tym co mowi.

Mnie osobiscie najwieksza frajde w patrolu sprawa samo jego odbycie/walka/przerzycie. Ranking traktuje ( i mam nadzieje zawsze traktowac) tylko jako dodatek.

PS.:
Kod:
1. Gracz nowy lub ze statusem KIA w poprzednim patrolu otrzymuje okręt z załogą "rekrut" ...

Czy ta opcja jest konieczna? Rozwiaznia takie preferuje graczy doswiadczonych i dosc obeznanych z tematem. Moze to zniechecic graczy poczatkujacych i tak zwanych "niedzielnych" graczy do kontyniacji gier rankingowych. Dodatkowo komplikuje to prowadzenie rankingu.

Powodzenia
/tes
_________________
Audentes fortuna iuvat (Wergiliusz)
Ostatnio zmieniony przez PL_tes 20 Maj 2009, 11:11, w całości zmieniany 3 razy  
 
     
PL_CMDR Blue R 
Kapitan zur See






Kraj:
poland

Imię: Rafał; Finek
Ulubiona Gra: Silent Hunter III
Pomógł: 117 razy
Wiek: 39
Dołączył: 22 Wrz 2006
Posty: 19423
Skąd: Dąbrowa Górnicza

 #20  Wysłany: 20 Maj 2009, 12:58   

Propos tego, co zacytował Tes, a mi umknęło:

Jeżeli już chcesz to, co tu pisze, to daj nowemu (tak jak było w kampanii on-line) gratisowy zawodowiec... Tak na zachętę.

[ Dodano: 20 Maj 2009, 15:34 ]
EDIT

No tak. Zapomniałem dodać... I pilnuj tego (czyli bądź na starcie każdej gry rankingowej)... Wiesz, ile jest z tym roboty? Musi być gdzieś zapisane, kto ma jaki status i aktualizowane na bierząco.

I mam pytanie... Sytuacja kolejności patroli"
Załóżmy, że mam 5 przeżytych patroli (pod rząd) w każdym średnio 20 000 BRT. Gramy wieczorem. Przeżywam (6 patrol) zatopiwszy 60 000 BRT i mam robić raport, ale zbiera się inna ekipa płynę dalej. Kolejny patrol zatapiam tylko 20 000 BRT, ale że było fajnie i więcej zatopił Wilk (dziad trafił na pancernik :P ) on robi drugi raport. No i jeszcze na trzecią nóżkę. Tutaj mnie zatapiają... Ponieważ hostowałem, zostaję i... zasypiam nad klawiaturą. Ponieważ po patrolu nie można mnie dowołać, Lukas decyduje, ze zrobi raport. Najpierw Wilk wprowadza swój, potem Lukas drugi... Wstaję rano i orientuję się, że spóźnie się na uczelnię i ledwo na pociąg zdążam. Wracam do domu i chcę wklepać raport... I teraz pytanie... Bo jak podejrzewam, ten premiowy tonaż nie będzie liczony przez automat...

Ile kłopotu zrobi taki "spóźniony" raport? Bo gdybym wpisał ten jako 8, to pewnie dostanę mniej premiowego BRT, tak? Możesz mi taką sytuację zasymulować? W tej kolejności, bo chodzi mi o "zapomniany raport"... Czy jak się okaże, że ktoś zapomniał/ktoś zrobił szybciej, to potem trzeba będzie cofać ranking do zapomnianego patrolu i potem na nowo dalej wklepywać? Czy może jak się okaże, że tylko np. Syguła ma tabelkę, a on na kilka dni wyjechał, to trzeba czekać z raportami? Możesz taką sytuację przedstawić? <to z Sygułą to prawdziwa sytuacja>
_________________
Czasami brak taktyki, to jedyna możliwa taktyka....
CMDR Blue R (Finek)
http://finektsc.deviantart.com/
http://pl.youtube.com/profile?user=FinekTSC
 
 
     
Wyświetl posty z ostatnich:   
Odpowiedz do tematu
Nie możesz pisać nowych tematów
Nie możesz odpowiadać w tematach
Nie możesz zmieniać swoich postów
Nie możesz usuwać swoich postów
Nie możesz głosować w ankietach
Nie możesz załączać plików na tym forum
Możesz ściągać załączniki na tym forum
Dodaj temat do Ulubionych
Wersja do druku

Skocz do:  

Podobne Tematy
Temat Autor Forum Odpowiedzi Ostatni post
Ten temat jest zablokowany bez możliwości zmiany postów lub pisania odpowiedzi Ogłoszenie: Regulamin gier rankingowych SH3
Ranking Wakacje 2015
PL_kanaron Nasze aktualne patrole - Miniranking wakacyjny 2015 0 18 Lipiec 2015, 10:11
PL_kanaron
Ten temat jest zablokowany bez możliwości zmiany postów lub pisania odpowiedzi Ogłoszenie: Regulamin Gier Rankingowych SH3
Ranking Jesień 2014
PL_Cmd_Jacek Nasze aktualne patrole - Jesień 2014 0 14 Styczeń 2010, 18:51
PL_Cmd_Jacek
Ten temat jest zablokowany bez możliwości zmiany postów lub pisania odpowiedzi Ogłoszenie: Gold Mission Pack - złoty pakiet misji rankingowych
Esencja gry rankingowych
PL_Cmd_Jacek Ogólnie o Silent Hunter III 0 23 Listopad 2015, 23:05
PL_Cmd_Jacek
Ten temat jest zablokowany bez możliwości zmiany postów lub pisania odpowiedzi Przyklejony: Regulamin Gier Rankingowych SH3
Ranking Wiosna 2014
PL_CMDR Blue R Nasze aktualne patrole - Wiosna 2014 0 31 Styczeń 2014, 19:19
PL_CMDR Blue R
Brak nowych postów Propozycja zmiany w regulaminie misji rankingowych
PL_CMDR Blue R Ogólnie o Silent Hunter III 6 22 Luty 2014, 10:06
PL_Cmd_Jacek
Brak nowych postów Propozycja zmiany w regulaminie misji rankingowych
PL_Oyama Ogólnie o Silent Hunter III 25 10 Grudzień 2013, 12:17
Gość
Brak nowych postów Info o nowych postach nie przychodzi na maila!
PL_Qbik Uwagi dotyczące strony klanowej i forum 10 15 Maj 2019, 15:50
PL_Qbik


Powered by phpBB modified by Przemo © 2003 phpBB Group